Java内存回收机制--Java引用的种类(强引用、弱引用、软引用、虚引用)
写在前面:对Java有一定认识的人都知道,Java有垃圾回收机制,尽管如此,Java同样也会出现内存泄露,本篇系列主要介绍Java的内存回收机制,以及介绍开发过程中内存管理的小技巧。本文参考《疯狂Java-突破程序员基本功的16课》Java内存管理包括内存分配(创建Java对象)和内存回收(回收Java对象)。这两者都是JVM(Java虚拟机)自动完成,正因如此,可能很多程序员不再
写在前面:对Java有一定认识的人都知道,Java有垃圾回收机制,尽管如此,Java同样也会出现内存泄露,本篇系列主要介绍Java的内存回收机制,以及介绍开发过程中内存管理的小技巧。本文参考《疯狂Java-突破程序员基本功的16课》
Java内存管理包括内存分配(创建Java对象)和内存回收(回收Java对象)。这两者都是JVM(Java虚拟机)自动完成,正因如此,可能很多程序员不再关心程序的内存分配。而作为一把双刃剑,这种自动处理的机制一方面减少了Java程序开发的难度,另一方面也加重了JVM的工作负担,使得Java程序运行相对较慢。如果程序员不注意代码的优化,不注重减轻JVM内存分配的负担,很容易降低程序性能,甚至会导致程序因为内存泄露而停止运行。
一、对象在内存中的状态
JVM是否回收一个对象的标准:是否还有引用变量引用该对象?只要有引用变量引用该对象,垃圾回收机制就不会回收它。
JVM的内存回收机制采用有向图方式来管理内存中的对象,对于单线程程序而言,整个程序基于main线程,那么该有向图就是以main进程为顶点的有向图。在此有向图中,main顶点可达的对象处于可达状态,垃圾回收机制不会回收它们,如果在有向图中,main线程不可达,则垃圾回收机制就会主动回收它了。
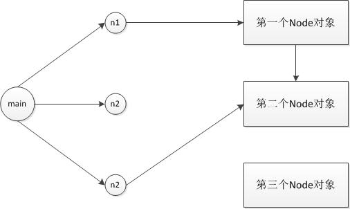
如下程序:
class Node {
Node next;
String name;
public Node(String name) {
this.name = name;
}
}
public class NodeTest {
public static void main(String[] args) {
Node n1 = new Node("第一个节点");
Node n2 = new Node("第二个节点");
Node n3 = new Node("第三个节点");
n1.next = n2;
n3 = n2;
n2 = null;
}
}
对应的有向图如下:
则很明显,“第三个Node对象”不可达,接下来就会成为垃圾回收机制的回收对象。
另外值得一提的是,有向图的管理方式能有效解决循环引用的问题,例如,有三个对象相互引用,A引用B,B引用C,C引用A,他们都没有失去引用,但是只要从有向图的顶点(也就是进程根)不可达,则垃圾回收机制就会回收它们。采用有向图管理内存对象,有较高精度,但缺点是效率较低。
根据对象在有向图中的状态,可以分为三种:
- 可达状态:对象被创建后有一个以上的引用变量引用它。程序可通过该引用变量来调用该对象的属性和方法。
- 可恢复状态:程序中某个对象不再有任何引用变量引用,它将进入可恢复状态,此时有向图的起始顶点不能导航到该对象。在该状态下,系统的垃圾回收机制准备回收该对象所占用 的内存。在回收该对象之前,系统会调用可恢复状态的对象的finalize方法进行资源清理,如果系统在调用finalize方法重新让一个以上引用变量引用该对象,则这个对象会再次变为可达状态;否则,该对象进入不可达状态。
- 不可达状态:对象 的所有关联都被切断,且系统调用对象的finalize方法依然没有使对象变为可达状态,那这个对象将永久性地失去引用,变成不可达状态。只有当一个对象处于不可达状态时,系统才会真正回收该对象所占有的资源。
三种状态的转换图如下所示:
值得注意的是,一个对象可以被一个方法局部变量所引用,也可以被其他类的类变量引用,或者被其他对象的实例变量所引用。当某个对象被其他类的类变量所引用时,只有该类被销毁后,该对象才会进入可恢复状态。当某个对象被其他对象的实例变量引用时,只有当引用该对象的对象被销毁或进入不可达状态时,该对象才会进入不可达状态。
二、几种引用方式:
在JDK1.2版本开始,把对象的引用分为四种级别,从而使程序更加灵活地控制对象的生命周期,这四种级别由高到低依次为:强引用、软引用、弱引用、虚引用。相关对应的类图结构如下:
1、强引用
以前我们使用的大部分引用实际上都是强引用,这是使用最普遍的引用。如果一个对象具有强引用,就表示它处于可达状态,垃圾回收器绝不会回收它,即便系统内存非常紧张,Java虚拟机宁愿抛出OutOfMemoryError错误,使程序异常终止,也不会回收被强引用所引用的对象。因此,强引用是造成Java内存泄露的主要原因之一。
2、软引用(SoftReference)
当一个对象只具有软引用,如果内存空间足够,垃圾回收器就不会回收它,如果内存空间不足了,就会回收这些对象的内存。只要垃圾回收器没有回收它,该对象就可以被程序使用。软引用可用来实现内存敏感的高速缓存。
软引用可以和一个引用队列(ReferenceQueue)联合使用,如果软引用所引用的对象被垃圾回收,JAVA虚拟机就会把这个软引用加入到与之关联的引用队列中。
3.弱引用(WeakReference)
如果一个对象只具有弱引用,那就类似于是可有可无的。弱引用和软引用很像,但弱引用的引用级别更低。弱引用与软引用的区别在于:只具有弱引用的对象拥有更短暂的生命周期。在垃圾回收器线程扫描它所管辖的内存区域的过程中,一旦发现了只具有弱引用的对象,不管当前内存空间足够与否,都会回收它的内存。不过,由于垃圾回收器是一个优先级较低的线程, 因此不一定会很快发现那些只具有弱引用的对象,即只有等到系统垃圾回收机制运行时才会被回收。
弱引用可以和一个引用队列(ReferenceQueue)联合使用,如果弱引用所引用的对象被垃圾回收,Java虚拟机就会把这个弱引用加入到与之关联的引用队列中。
4.虚引用(PhantomReference)
"虚引用"顾名思义,就是形同虚设,与其他几种引用都不同,虚引用并不会决定对象的生命周期。如果一个对象仅持有虚引用,那么它就和没有任何引用一样,在任何时候都可能被垃圾回收,程序也并不能通过虚引用访问被引用的对象。
虚引用主要用来跟踪对象被垃圾回收的状态。虚引用与软引用和弱引用的一个区别在于:虚引用不能单独使用,虚引用必须和引用队列(ReferenceQueue)联合使用。当垃圾回收器准备回收一个对象时,如果发现它还有虚引用,就会在回收对象的内存之前,把这个虚引用加入到与之关联的引用队列中。程序可以通过判断引用队列中是否已经加入了虚引用,来了解被引用的对象是否将要被垃圾回收。程序如果发现某个虚引用已经被加入到引用队列,那么就可以在所引用的对象的内存被回收之前采取必要的行动。
各类引用说明对比如下表所示:
使用这些引用类可以避免程序执行期间将对象留在内存中。如果以软引用、弱引用或虚引用的方式引用对象,垃圾回收器就能随意地释放对象。如果希望尽可能减小程序在其生命周期中所占用的内存大小,这些引用类就很有好处。
请尊重原创,转载请注明出处:
http://blog.csdn.net/daijin888888/article/details/49949283
更多推荐
所有评论(0)