目录

一、伪逆矩阵

◼ A的伪逆矩阵与SVD

◼ 用Python代码计算A的伪逆矩阵

◼ 笔算A的伪逆矩阵


一、伪逆矩阵

◼ A的伪逆矩阵与SVD

逆矩阵并不总是存在,即使是方阵。然而,对于非正方形矩阵,存在一个伪逆矩阵,也叫摩尔-彭罗斯逆矩阵。

例如,矩阵A是m×n。使用伪逆矩阵A^+,我们可以进行以下转换。

 

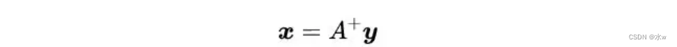
我们定义伪逆矩阵A^+为:

V和U来自奇异值分解。

我们通过转置Σ和所有对角元素的逆得到D^+。假设Σ的定义如下:

那么D+的定义如下:

现在,我们可以看到A^+A的原理:

以同样的方式,AA^+ = I。

综上所述,如果我们能够对矩阵A进行奇异值分解,我们就可以通过VD^+UT来计算A^+,这是一个A的伪逆矩阵。

 

对于任意一个矩阵A,A的伪逆矩阵必然存在,且必然满足以下四个条件:

这四个条件(性质)蕴含了一个事情:AA^+必然是一个效果等同单位矩阵I、但又不是单位矩阵I的矩阵。

伪逆矩阵的极限形式定义:

 伪逆矩阵更加常用的定义(基于SVD奇异值分解)

这个公式要注意的是中间的的求法。因为是一个对角线矩阵,但又不一定是方阵,所以计算它的伪逆矩阵的步骤是特殊又简单的:

  1. 将对角线上的元素取倒数

  2. 再将整个矩阵转置一次

◼ 用Python代码计算A的伪逆矩阵

让我们用Numpy试试伪逆矩阵吧,

import numpy as np

A = np.array([
    [1, 2],
    [3, 4],
    [5, 6]], dtype=np.float64)
AP = np.linalg.pinv(A)
print('AP @ A')
print(AP @ A)

下面是输出结果: 

 

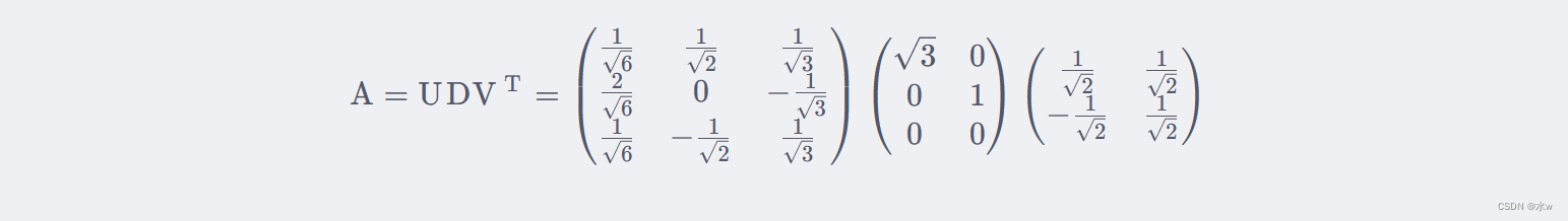
◼ 笔算A的伪逆矩阵

我们把矩阵 A 定义为:

我们首先求出 A^TA 和  AA^T ,

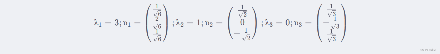
 进而求出  A^TA 的特征值和特征向量:

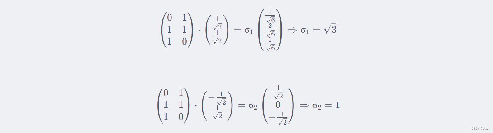
利用 Aνi​=σi​υi​,i=1,2 求奇异值:

当然,我们也可以用 σ i =sqrt{ λ i },​直接求出奇异值为sqrt{3} ​和 1。最终,可以得到 A 的奇异值分解为:

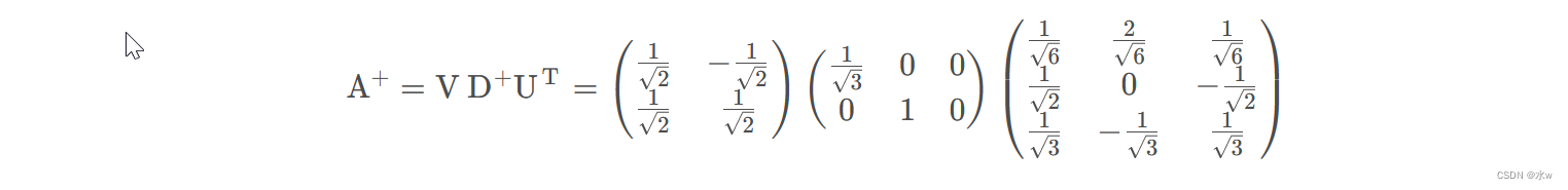
其中,矩阵 U ,D和 V 是矩阵 A奇异值分解后得到的矩阵。对角矩阵 D的伪逆 D^+ 是其非零元素取倒数之后再转置得到的。所以可以得到 A 的伪逆为:

 

 

Logo

华为开发者空间,是为全球开发者打造的专属开发空间,汇聚了华为优质开发资源及工具,致力于让每一位开发者拥有一台云主机,基于华为根生态开发、创新。

更多推荐