R-Drop论文复现与理论讲解
基于 Dropout 的这种特殊方式对网络带来的随机性,研究员们提出了 R-Drop 来进一步对(子模型)网络的输出预测进行了正则约束。
摘要:基于 Dropout 的这种特殊方式对网络带来的随机性,研究员们提出了 R-Drop 来进一步对(子模型)网络的输出预测进行了正则约束。
本文分享自华为云社区《R-Drop论文复现与理论讲解》,作者: 李长安。
R-Drop: Regularized Dropout for Neural Networks
由于深度神经网络非常容易过拟合,因此 Dropout 方法采用了随机丢弃每层的部分神经元,以此来避免在训练过程中的过拟合问题。正是因为每次随机丢弃部分神经元,导致每次丢弃后产生的子模型都不一样,所以 Dropout 的操作一定程度上使得训练后的模型是一种多个子模型的组合约束。基于 Dropout 的这种特殊方式对网络带来的随机性,研究员们提出了 R-Drop 来进一步对(子模型)网络的输出预测进行了正则约束。论文通过实验得出一种改进的正则化方法R-dropout,简单来说,它通过使用若干次(论文中使用了两次)dropout,定义新的损失函数。实验结果表明,尽管结构非常简单,但是却能很好的防止模型过拟合,进一步提高模型的正确率。模型主体如下图所示。

论文贡献
由于深度神经网络非常容易过拟合,因此 Dropout 方法采用了随机丢弃每层的部分神经元,以此来避免在训练过程中的过拟合问题。正是因为每次随机丢弃部分神经元,导致每次丢弃后产生的子模型都不一样,所以 Dropout 的操作一定程度上使得训练后的模型是一种多个子模型的组合约束。基于 Dropout 的这种特殊方式对网络带来的随机性,研究员们提出了 R-Drop 来进一步对(子模型)网络的输出预测进行了正则约束。
实现思路
与传统作用于神经元(Dropout)或者模型参数(DropConnect)上的约束方法不同,R-Drop 作用于模型的输出层,弥补了 Dropout 在训练和测试时的不一致性。简单来说就是在每个 mini-batch 中,每个数据样本过两次带有 Dropout 的同一个模型,R-Drop 再使用 KL-divergence 约束两次的输出一致。既约束了由于 Dropout 带来的两个随机子模型的输出一致性。

论文公式
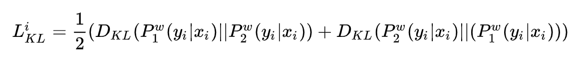
模型的训练目标包含两个部分,一个是两次输出之间的KL散度,如下:

另一个是模型自有的损失函数交叉熵,如下:

总损失函数为:
代码实现
与传统的训练方法相比,R- Drop 只是简单增加了一个 KL-divergence 损失函数项,并没有其他任何改动。其PaddlePaddle版本对应的代码实现如下所示。
- 散度损失
交叉熵=熵+相对熵(KL散度) 其与交叉熵的关系如下:
代码实现示意
import paddle.nn.functional as F
# define your task model, which outputs the classifier logits
model = TaskModel()
def compute_kl_loss(self, p, q, pad_mask=None):
p_loss = F.kl_div(F.log_softmax(p, axis=-1), F.softmax(q, axis=-1), reduction='none')
q_loss = F.kl_div(F.log_softmax(q, axis=-1), F.softmax(p, axis=-1), reduction='none')
# pad_mask is for seq-level tasks
if pad_mask is not None:
p_loss.masked_fill_(pad_mask, 0.)
q_loss.masked_fill_(pad_mask, 0.)
# You can choose whether to use function "sum" and "mean" depending on your task
p_loss = p_loss.sum()
q_loss = q_loss.sum()
loss = (p_loss + q_loss) / 2
return loss
# keep dropout and forward twice
logits = model(x)
logits2 = model(x)
# cross entropy loss for classifier
ce_loss = 0.5 * (cross_entropy_loss(logits, label) + cross_entropy_loss(logits2, label))
kl_loss = compute_kl_loss(logits, logits2)
# 论文中对于CV任务的超参数
α = 0.6
# carefully choose hyper-parameters
loss = ce_loss + α * kl_loss
代码实现实战
项目说明
本次实验以白菜生长的四个周期为例,进行生长情况识别实验。数据来自于讯飞的比赛。数据展示如下:发芽期、幼苗期、莲座期、结球期。


!cd 'data/data107306' && unzip -q img.zip
!cd 'data/data106868' && unzip -q pdweights.zip
# 导入所需要的库
from sklearn.utils import shuffle
import os
import pandas as pd
import numpy as np
from PIL import Image
import paddle
import paddle.nn as nn
from paddle.io import Dataset
import paddle.vision.transforms as T
import paddle.nn.functional as F
from paddle.metric import Accuracy
import warnings
warnings.filterwarnings("ignore")
# 读取数据
train_images = pd.read_csv('data/data107306/img/df_all.csv')
train_images = shuffle(train_images)
# 划分训练集和校验集
all_size = len(train_images)
# print(all_size)
train_size = int(all_size * 0.9)
train_image_list = train_images[:train_size]
val_image_list = train_images[train_size:]
train_image_path_list = train_image_list['image'].values
label_list = train_image_list['label'].values
train_label_list = paddle.to_tensor(label_list, dtype='int64')
val_image_path_list = val_image_list['image'].values
val_label_list1 = val_image_list['label'].values
val_label_list = paddle.to_tensor(val_label_list1, dtype='int64')
# 定义数据预处理
data_transforms = T.Compose([
T.Resize(size=(256, 256)),
T.Transpose(), # HWC -> CHW
T.Normalize(
mean = [0, 0, 0],
std = [255, 255, 255],
to_rgb=True)
])
# 构建Dataset
class MyDataset(paddle.io.Dataset):
"""
步骤一:继承paddle.io.Dataset类
"""
def __init__(self, train_img_list, val_img_list,train_label_list,val_label_list, mode='train'):
"""
步骤二:实现构造函数,定义数据读取方式,划分训练和测试数据集
"""
super(MyDataset, self).__init__()
self.img = []
self.label = []
self.valimg = []
self.vallabel = []
# 借助pandas读csv的库
self.train_images = train_img_list
self.test_images = val_img_list
self.train_label = train_label_list
self.test_label = val_label_list
# self.mode = mode
if mode == 'train':
# 读train_images的数据
for img,la in zip(self.train_images, self.train_label):
self.img.append('data/data107306/img/imgV/'+img)
self.label.append(la)
else :
# 读test_images的数据
for img,la in zip(self.test_images, self.test_label):
self.img.append('data/data107306/img/imgV/'+img)
self.label.append(la)
def load_img(self, image_path):
# 实际使用时使用Pillow相关库进行图片读取即可,这里我们对数据先做个模拟
image = Image.open(image_path).convert('RGB')
image = np.array(image).astype('float32')
return image
def __getitem__(self, index):
"""
步骤三:实现__getitem__方法,定义指定index时如何获取数据,并返回单条数据(训练数据,对应的标签)
"""
image = self.load_img(self.img[index])
label = self.label[index]
return data_transforms(image), label
def __len__(self):
"""
步骤四:实现__len__方法,返回数据集总数目
"""
return len(self.img)
#train_loader
train_dataset = MyDataset(train_img_list=train_image_path_list, val_img_list=val_image_path_list, train_label_list=train_label_list, val_label_list=val_label_list, mode='train')
train_loader = paddle.io.DataLoader(train_dataset, places=paddle.CPUPlace(), batch_size=8, shuffle=True, num_workers=0)
#val_loader
val_dataset = MyDataset(train_img_list=train_image_path_list, val_img_list=val_image_path_list, train_label_list=train_label_list, val_label_list=val_label_list, mode='test')
val_loader = paddle.io.DataLoader(val_dataset, places=paddle.CPUPlace(), batch_size=8, shuffle=True, num_workers=0)
from work.senet154 import SE_ResNeXt50_vd_32x4d
from work.res2net import Res2Net50_vd_26w_4s
from work.se_resnet import SE_ResNet50_vd
# 模型封装
# model_re2 = SE_ResNeXt50_vd_32x4d(class_num=4)
model_re2 = Res2Net50_vd_26w_4s(class_dim=4)
model_ss = SE_ResNet50_vd(class_num=4)
model_ss.train()
model_re2.train()
epochs = 2
optim1 = paddle.optimizer.Adam(learning_rate=3e-4, parameters=model_re2.parameters())
optim2 = paddle.optimizer.Adam(learning_rate=3e-4, parameters=model_ss.parameters())
import paddle.nn.functional as F
def compute_kl_loss(p, q, pad_mask=None):
p_loss = F.kl_div(F.log_softmax(p, axis=-1), F.softmax(q, axis=-1), reduction='none')
q_loss = F.kl_div(F.log_softmax(q, axis=-1), F.softmax(p, axis=-1), reduction='none')
# pad_mask is for seq-level tasks
if pad_mask is not None:
p_loss.masked_fill_(pad_mask, 0.)
q_loss.masked_fill_(pad_mask, 0.)
# You can choose whether to use function "sum" and "mean" depending on your task
p_loss = p_loss.sum()
q_loss = q_loss.sum()
loss = (p_loss + q_loss) / 2
return loss
# 用Adam作为优化函数
for epoch in range(epochs):
for batch_id, data in enumerate(train_loader()):
x_data = data[0]
y_data = data[1]
predicts1 = model_re2(x_data)
predicts2 = model_ss(x_data)
loss1 = F.cross_entropy(predicts1, y_data, soft_label=False)
loss2 = F.cross_entropy(predicts2, y_data, soft_label=False)
# cross entropy loss for classifier
ce_loss = 0.5 * (loss1 + loss2)
kl_loss = compute_kl_loss(predicts1, predicts2)
# 论文中对于CV任务的超参数
α = 0.6
# carefully choose hyper-parameters
loss = ce_loss + α * kl_loss
# 计算损失
acc1 = paddle.metric.accuracy(predicts1, y_data)
acc2 = paddle.metric.accuracy(predicts2, y_data)
loss.backward()
if batch_id % 50 == 0:
print("epoch: {}, batch_id: {}, loss1 is: {}".format(epoch, batch_id, loss.numpy()))
optim1.step()
optim1.clear_grad()
optim2.step()
optim2.clear_grad()
总结
本文介绍了R-Drop,它将“Dropout两次”的思想用到了有监督任务中,每个实验结果几乎都取得了明显的提升,并以白菜生长情况识别为例对R-Drop进行了实战。
R-Drop论文的实现思路实际上非常简单,在论文中,作者对CV以及NLP两大任务进行了实验,但是几乎用的都是Transformer的模型,深度神经网络是深度学习的基础,但其在训练模型时会出现过拟合的问题,而简单易用的 Dropout 正则化技术可以防止这种问题的发生。然而 Dropout 的操作在一定程度上会使得训练后的模型成为一种多个子模型的组合约束。
更多推荐




所有评论(0)