语音端点检测原理VAD——Voice Activity Detection(个人整理)
语音端点检测原理VAD——Voice Activity Detection(个人整理)语音端点检测:用于判断给定的音频数据是否存在语音,其常用语音编解码、降噪、增益控制、波束形成以及唤醒识别等算法中。VAD检测给定音频数据含有语音的概率,VAD方法通常包括特征提取和语音/非语音判决两部分。当前使用的语音特征主要有时域和频域两种,时域特征:①能量波动;②过零率③最大能量④最小能量等。频域特征:①基频
语音端点检测原理VAD——Voice Activity Detection(个人整理)
语音端点检测:用于判断给定的音频数据是否存在语音,其常用语音编解码、降噪、增益控制、波束形成以及唤醒识别等算法中。
VAD检测给定音频数据含有语音的概率,VAD方法通常包括特征提取和语音/非语音判决两部分。
当前使用的语音特征主要有时域和频域两种,
时域特征:
①能量波动;
②过零率
③最大能量
④最小能量等。
频域特征:
①基频;
②频谱组成;
③频谱质心;
④谱差;
⑤谱密度;
⑥谱衰减;
用于VAD判决的特征通常可以分为六大类:
①能量;
②频域;
③倒谱;
④谱差;
⑤谐波;
⑥长时信息;
基于能量的特征计算简单,如能量过零率,基于谱(频谱,倒谱和谱差)在低SNR可以获得较好的效果,当SNR为0dB时,基于语音谐波和长时语音特征判决方法的鲁棒性更强。
当前的判决准则可以分为3类:
①基于门限;
②基于统计模型;
③基于深度学习;
很多开源的语音宣发都是基于统计模型的判决方法,如WebRTC和Speex中基于高斯混合模型的VAD检测方法,这类方法对信噪比较高的音源检测效果良好。
随着深度学习的兴起,基于深度学习的VAD方法也已经在一些特定的场景商用,最新的WebRTC集成了基于RNN模型的VAD检测方法,该方法作为WebRTC新一代AGG(Automatic Gain Control,自动增益控制)算法的一个子部分存在。
远场情境下,由于传播路径较远,反射、散射、吸收、衰减的影响变强,这导致语音的SNR和SDR比近场差很多,如果此时仅用基于统计模型的检测方法并不能得到很好的判决结果,则有两种解决思路,一种是先提高SNR,再进行VAD检测,另一种是直接对低SNR的带噪语音进行检测,如一些基于深度学习的方法在训练语料中加入噪声,这类方法在数据集充分的前提下,其准确性可以超过基于统计模型的方法。
————————————————————————————————————————————
1.特征选取
特征对VAD检测尤为重要,好的特征应有如下特性。
①区分能力:
含噪语音和仅含噪声音频的分离度应尽量大。理论上,好的特征能够让语音特征和噪声特征分布没有交集。
②噪声鲁棒性:
背景噪声会造成语音失真,这会影响提取的特征区分能力。
(1)基于能量的特征
信号的能量强度是基于能量的VAD检测方法的主要依据,在满足语音能量大于背景噪声能量的假设下,当能量大于某一门限时,则可以认为有语音存在,当噪声能量达到和语音能量一样大时,能量特征无法区分是语音还是纯噪声。
早先基于能量的方法将宽带语音分成各个子带,求各个子带能量,因为语音在2kHz以下频带含有大量的能量,而噪声在2~4kHz及4KHz以上的频带能量往往比在0到2KHz频带的能量高。这其实就是频谱平坦度的概率,WebRTC中基于统计模型方法用了频谱平坦度这一特征。基于能量方法在信噪比低于10dB时,语音和噪声的区分性能会加速下降。
(2)短时能量过零率
采集到的语音信号在数字域上有正负之分,从坐标轴上看,有些在正半轴,有些在负半轴,如图3-1所示。过零率等于一段时间内穿过横轴的次数与总采样点数的比值,它反映了信号变化的快慢,虽是时域特征,在变化快慢的程度上反映了频域信息。过零率对低频噪声敏感,实际使用中可以过滤掉低频部分。
(3)频域特征
通过STFT将时域信号变成频域信号,俗称声谱图,即使SNR为0dB,一些频带的长时包络还是可以用于区分语音和噪声。
(4)倒谱特征
能量倒谱峰值确定了语音信号的基频,也有使用MFCC特征作为VAD判决的输入特征。
(5)基于谐波的特征
语音的一个明显特征是包含了基频F0及其多个谐波频率,即使在强噪声场景,谐波这一特征也是存在的,可以使用自相关的方法找到基频所在频点。
(6)长时特征
语音是非稳态信号,正常语速下,大部分人通常每秒发出10~15个音素,音素间的谱分布是不同的,这就导致了随着时间变化,语音统计特性也是变化的。另外,日常绝大多数噪声是稳态的(变化比较慢),如白噪声,根据音频长时统计变化特征也可用于区分语音/噪声。
2.判决准则
2.1 门限
门限通常是根据目标场景的数据集预处理得到的,对于噪声变化的场景,需要使用自适应门限,将能量表示成
最小和最大能量值分别记为E0和E1,对应的门限为

则可以得到自适应门限:

绝大多数应用使用平滑策略来更新门限值,利用平滑因子α控制更新速率。

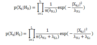
2.2 统计模型法
统计模型法最先源于似然比检验(LRT),这种方法假设语音和背景噪声是独立的高斯分布,这样它们的DFT系数可以用高斯随机变量来描述,设

分别表示非语音和语音。给定第k帧谱

其噪声和语音的概率密度函数分别用下式表示:

其中,i是频点索引,

上式,分别是噪声和语音的方差向量。这些参数可以通过噪声估计和谱减的方法从训练数据集获得。然后可以获得第i个频段的似然比

判决为

当

则认为是语音,否则认为是非语音。
WebRTC用定点化的方法实现了该似然比检验。取对数均值以提升判决的可靠性,但由于左侧log总是正数,因而这似然比偏向Hs,这种偏差可以通过减少只有噪声时似然比波动的判决引导(DD)方法来纠正,DD方法在与引导非语音变换区域容易发生错误,这又可以基于时域平滑减少错误的发生。
2.3 机器学习法
机器学习的思想是针对给定的问题,收集大量的语音和非语音样本,判决模型(基于深度神经网络)参数通过机器学习方法获得,这样可以使用含有大量参数的神经网络模型,已使最终训练得到的模型比高斯模型更加逼近真实的语音模型。
机器学习法通常收集和标注训练集(音频集),提取合适的神经网络输入参数(特征),然后使用深度神经网络开发工具搭建网络模型,网络结构会使用(DNN、CNN、RNN、DCUNet)及他们组合的网络模型,根据训练结果选择适合的模型和参数作为部署模型。
同时,深度学习方法有两大弊病:
①计算资源通常较传统方法消耗大
②另一个是模型泛化能力通常比传统方法差。
计算资源消耗大的问题可以通过更换网络模型结构、模型剪枝、压缩以及定点化等方式优化。
模型泛化能力弱的问题可以使用各种正则方法、扩充训练数据集合和更换网络输入特征等方式改进。
参考文献:
《实时语音处理——实践指南》
更多推荐



所有评论(0)