数据预处理(三)——数据集成
主要内容:数据预处理的必要性数据清洗数据集成数据标准化数据规约数据变换与离散化利用sklearn进行数据预处理三、数据集成数据集成是将多个数据源中的数据合并,存放于一个一致的数据存储中。1.数据集成过程中的关键问题1.实体识别2.数据冗余和相关分析3.元组重复4.数据值冲突检测与处理5.数据异常值检测实体识别实体识别问题是数据集成中的首要问题,因为来自多个信息源的现实世界的等价实体才能匹配。如数据
·
主要内容:
数据预处理的必要性
数据清洗
数据集成
数据标准化
数据规约
数据变换与离散化
利用sklearn进行数据预处理
小结
三、数据集成
数据集成是将多个数据源中的数据合并,存放于一个一致的数据存储中。
1.数据集成过程中的关键问题
1.实体识别
2.数据冗余和相关分析
3.元组重复
4.数据值冲突检测与处理
5.数据异常值检测
- 实体识别
实体识别问题是数据集成中的首要问题,因为来自多个信息源的现实世界的等价实体才能匹配。如数据集成中如何判断一个数据库中的customer_id和另一数据库中的cust_no是指相同的属性? - 数据冗余和相关分析
冗余是数据集成的另一重要问题。如果一个属性能由另一个或另一组属性值“推导”出,则这个属性可能是冗余的。属性命名不一致也会导致结果数据集中的冗余。
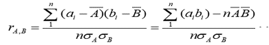
有些冗余可以被相关分析检测到,对于标称属性,使用卡方检验,对于数值属性,可以使用相关系数(correlation coefficient)和 协方差( covariance)评估属性间的相关性。
(1)标称数据的卡方相关检验

(2)数值数据的相关系数

(3)数值数据的协方差

import pandas as pd
import numpy as np
a=[47, 83, 81, 18, 72, 41, 50, 66, 47, 20, 96, 21, 16, 60, 37, 59, 22, 16, 32, 63]
b=[56, 96, 84, 21, 87, 67, 43, 64, 85, 67, 68, 64, 95, 58, 56, 75, 6, 11, 68, 63]
# 数组转置(T)
data = np.array([a,b]).T
dfab = pd.DataFrame(data,columns = ['A','B'])
# display(dfab)
print('属性A和B的协方差:',dfab.A.cov(dfab.B))
print('属性A和B的相关系数:',dfab.A.corr(dfab.B))
# 属性A和B的协方差: 310.2157894736842
# 属性A和B的相关系数: 0.49924871046524394
- 元组重复
除了检查属性的冗余之外,还要检测重复的元组,如给定唯一的数据实体,存在两个或多个相同的元组。 - 数据值冲突检测与处理
数据集成还涉及数据值冲突的检测与处理。例如不同学校的学生交换信息时,由于不同学校有各自的课程计划和评分方案,同一门课的成绩所采取的评分分数也有可能不同,如十分制或百分制。
2.利用Pandas合并数据
在实际的数据分析中,可能有不同的数据来源,因此,需要对数据进行合并处理。
(1)merge数据合并
merge(left,right,how = 'inner',on = None,left_on = None,right_on = None,left_index = False,right_index = False,sort = False,suffixes = ('_x','_y'),copy = True,indicator = False,validate = None)
| 参数 | 说明 |
|---|---|
| left | 参与合并的左侧DataFrame |
| right | 参与合并的右侧DataFrame |
| how | 连接方法:inner,left,right,outer |
| on | 用于连接的列名 |
| left_on | 左侧DataFrame中用于连接键的列 |
| right_on | 右侧DataFrame中用于连接键的列 |
| left_index | 左侧DataFrame中行索引作为连接键 |
| right_index | 右侧DataFrame中行索引作为连接键 |
| sort | 合并后会对数据排序,默认为True |
| suffixes | 修改重复名 |
merge的默认合并数据。
price = pd.DataFrame({'fruit':['apple','grape','orange','orange'],'price':[8,7,9,11]})
amount = pd.DataFrame({'fruit':['apple','grape','orange'],'amount':[5,11,8]})
display(price,amount,pd.merge(price,amount))
# fruit price
# 0 apple 8
# 1 grape 7
# 2 orange 9
# 3 orange 11
# fruit amount
# 0 apple 5
# 1 grape 11
# 2 orange 8
# fruit price amount
# 0 apple 8 5
# 1 grape 7 11
# 2 orange 9 8
# 3 orange 11 8
指定合并时的列名。
display(pd.merge(price,amount,left_on = 'fruit',right_on = 'fruit'))
# fruit price amount
# 0 apple 8 5
# 1 grape 7 11
# 2 orange 9 8
# 3 orange 11 8
左连接。
display(pd.merge(price,amount,how = 'left'))
# fruit price amount
# 0 apple 8 5
# 1 grape 7 11
# 2 orange 9 8
# 3 orange 11 8
右连接。
display(pd.merge(price,amount,how = 'right'))\
# fruit price amount
# 0 apple 8 5
# 1 grape 7 11
# 2 orange 9 8
# 3 orange 11 8
merge通过多个键合并。
left = pd.DataFrame({'key1':['one','one','two'],'key2':['a','b','a'],'value1':range(3)})
right = pd.DataFrame({'key1':['one','one','two','two'],'key2':['a','a','a','b'],'value2':range(4)})
display(left,right,pd.merge(left,right,on = ['key1','key2'],how = 'left'))
# key1 key2 value1
# 0 one a 0
# 1 one b 1
# 2 two a 2
# key1 key2 value2
# 0 one a 0
# 1 one a 1
# 2 two a 2
# 3 two b 3
# key1 key2 value1 value2
# 0 one a 0 0.0
# 1 one a 0 1.0
# 2 one b 1 NaN
# 3 two a 2 2.0
merge函数中参数suffixes的应用。
print(pd.merge(left,right,on = 'key1'))
print(pd.merge(left,right,on = 'key1',suffixes = ('_left','_right')))
key1 key2_x value1 key2_y value2
# 0 one a 0 a 0
# 1 one a 0 a 1
# 2 one b 1 a 0
# 3 one b 1 a 1
# 4 two a 2 a 2
# 5 two a 2 b 3
# key1 key2_left value1 key2_right value2
# 0 one a 0 a 0
# 1 one a 0 a 1
# 2 one b 1 a 0
# 3 one b 1 a 1
# 4 two a 2 a 2
# 5 two a 2 b 3
(2)concat数据连接
两个Series的数据连接。
s1 = pd.Series([0,1],index = ['a','b'])
s2 = pd.Series([2,3,4],index = ['a','d','e'])
s3 = pd.Series([5,6],index = ['f','g'])
print(pd.concat([s1,s2,s3]))
# a 0
# b 1
# a 2
# d 3
# e 4
# f 5
# g 6
# dtype: int64
两个DataFrame的数据连接。
data1 = pd.DataFrame(np.arange(6).reshape(2,3),columns = list('abc'))
data2 = pd.DataFrame(np.arange(20,26).reshape(2,3),columns = list('ayz'))
data = pd.concat([data1,data2],axis = 0)
display(data1,data2,data)
# a b c
# 0 0 1 2
# 1 3 4 5
# a y z
# 0 20 21 22
# 1 23 24 25
# a b c y z
# 0 0 1.0 2.0 NaN NaN
# 1 3 4.0 5.0 NaN NaN
# 0 20 NaN NaN 21.0 22.0
# 1 23 NaN NaN 24.0 25.0
指定索引顺序。
import pandas as pd
s1 = pd.Series([0,1],index = ['a','b'])
s2 = pd.Series([2,3,4],index = ['a','d','e'])
s3 = pd.Series([5,6],index = ['f','g'])
s4 = pd.concat([s1*5,s3],sort = False)
s5 = pd.concat([s1,s4],axis=1,sort=False)
s6 = pd.concat([s1,s4],axis=1,join='inner',sort=False)
s7 = pd.concat([s1,s4],axis=1,join='inner',join_axes=[['b','a']],sort=False)
display(s6,s7)
# 0 1
# a 0 0
# b 1 5
# 0 1
# b 1 5
# a 0 0
(3) combine_first合并数据
使用combine_first合并。(需要合并的两个DataFrame存在重复索引)
s6.combine_first(s5)
# 0 1
# a 0.0 0.0
# b 1.0 5.0
# f NaN 5.0
# g NaN 6.0
更多推荐



所有评论(0)